最近十来天,在经过了观望的过程和模拟再熟悉以后,我开始正式参与了中国新兴的股指期货交易中。这个市场非常火爆,充满了活力,一推出就迅速占据了最主要的交易品种,并成功带着大盘运行,完全体现出价格发现的功能。因此我在此写下我前10天交易的心得体会,以供参考和日后自己提高。
基本面的情况就不再赘述了,之前“做空中国”系列还会继续下去。由于之后的部分要涉及到汇率,利率以及货币银行学知识,我尽量准备的充分一些再写。最近仍然维持偏空的思路。
在之前的两周暴跌中,空头持仓的趋势模式是最主要的盈利方法。而进入这两周则进入一个反复反弹以及延续平台整理的格局。从整体上看,大盘没有明显的热点板块,均为超跌反弹。反而股指期货异常火爆,日内持仓都达到两万以上,显示短线资金都放弃短线股票投身股指期货,而大盘连续缩量,印证了我上一篇《做空中国》中对于短线资金的判断。
这两周的交易情况:
应该说这两周(具体说是9个交易日,第一个交易日是上周末的过夜盘盈利,之后未交易)共盈利约7万元,对于投入的资金(不超过两手)来说,是非常可观的。在大部分的交易日中我只使用1手单子,算上第一周的趋势单,总共盈利约34%(以两手资金计)。除了做下跌趋势过程中有浮亏过夜的情况,日内的9个交易日均无亏损。
交易思路采用日内波段,5分钟结合15分钟均线系统开仓,以主趋势上的5分钟/15分钟的5,10,60MA支撑(阻力)开仓,随机平仓。判断趋势采用15分钟的60MA有效穿透及现货大盘的日线指标。基本面分析不变(偏空但是短反弹)。止损采取机械止损+技术止损,以击穿开仓均线的上一级均线为止损位或10个点强制止损。止盈凭感觉。
经验:
1,减少操作。通过研究,我发现较少的操作可以避免大部分的失误以及参与不必要的盘整行情。因此我有意控制了操作节奏。但是这一点在今天的操作中没有执行到位,直接导致了两次大幅亏损,今天的目标未达成。
2,开仓点选择5分钟的5MA最佳。但是如临近下一条均线的距离过近则要小心。
3,平仓一般是整数点位击穿后平仓或者发现持仓量异常增大平仓。或者是靠近下一条重要均线的时候平仓。
4,心态平和,一天怎么也能挣一个普通人一个月的收入,如果追求高收益反而得不偿失,比如今天,已经连续两次盈利超过5000,都因为继续冒进而损失掉了。
5,盈利与交易频率
以下是我累计盈利和手续费的图表。
权益变化
手续费消耗
通过以上的图表,我发现一个问题,每次大量消耗手续费的时候盈利往往不理想,比较理想的情况下,手续费和实际盈利的比例约为1:10。而今天我操作的手续费竟然高达2000多元,显示了盲目交易,频繁交易和大仓位交易的恶果。
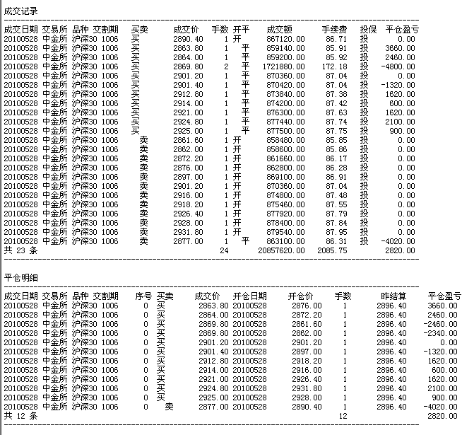
28日的交易记录
通过这张交易记录,可以看出我今天交易12手(开平),而其中亏损3次,其中两次大亏。通过研究本周的记录,我一共严重亏损3次,今天就占了2次(还有一次单笔亏6000)。究其原因,还是因为激进交易增仓2手和一次逆势交易。
从这里看出,教训在于:
1,能开1手的不开2手,2手的开法是乘胜追击,而不是一开始就开两张。
2,不要做向均线修复的波段,如上涨中,阳线漂离5MA时,应该平多,但是不能开空。因为向5MA修复的过程可能会以空中平台的方式而不是回调。这种操作属于逆势操作,与对重要支撑/阻力位的提前下反向单(抓确认浪)不是一回事。
若上涨中遇到60MA时,(15分钟级别)仍要尽可能放弃掉确认浪,因为确认也就5个点左右,而突破后上面空间是无限的。这一点4000元的教训还不够。
3,关于止盈:如果盈利不能迅速扩大,要立即找原因,找:现货情况?是否是日线级别的阻力/支撑?是否是15分钟级别的阻力/支撑?是否严重偏离均线?是否有基本面状况?
4,关于持仓:若在一个关键点上开仓并成功后,可以考虑持仓一段时间,若盈利30个点(9000)后,可以开第二张做短线。这个只适用于趋势市(单边)。
5,止损:必须快,一旦下单以后若长时间不能见效,立即止损。出错人人都会出,而一流交易员的素质在于知错就改。单子上全是盈利那是蒙的,而全是小亏损和大盈利才是真本事。
6.心态:股指期货是中国最先进的品种,利用极少的资金(不到20万),在得当的操作下收益是惊人的。因此不要贪快,每天哪怕赚1000,都是绝大部分人所不能及的。而同为投资者,这又比做股票安全(T+0),机会是过剩的,要主动浪费掉大部分机会。克制自己的交易冲动,杜绝冲动交易和随机交易是盈利的保证。
好了 先写这么多吧。另外我要检讨一下我有一次在twitter上说了我在60MA开空(当时是上涨的),结果赚了5个点走,还颇为得意,事实上这是一个极其愚蠢的行为。以后下不为例。
另外我明天开始,为了锻炼自己不随机交易和冲动交易,要学习克制自己的欲望,从twittter开始,每天只发不超过50条推,包含RT和@,不含DM。从每天早上第一条推开始计数,24点复位。计划实践1周,测试结果。
最后提醒一下最近的SHIBOR利率不正常,可能说明流动性存在问题,需要提起注意,不要沉迷于短线反弹。




没怎么看懂,不过赢利7万的字眼还是蛮诱人的!
不得不说,你的操作已经很帅啦。前一段时间做空真是太爽,就是可怜散户了。